Dies ist eine alte Version des Dokuments!
Vektoren
Begriffe
Reeller Spaltenvektor
Gleichheit
Vektoren werden als gleich bezeichnet wenn jede einzelne Komponente des ersten Vektors mit der dazugehörigen Komponente des zweiten Vektors
übereinstimmt.
Hier besitzen dien beiden Vektoren eine gleiche Komponentenzahl $ n $.
Rechenregeln
Addition
Hier die Addition von zwei Vektoren. Diese Addition gilt nur für Vektoren mit gleicher Komponentenzahl.
Es wird jedes Komponentenpaar einzeln miteinander Addiert.
Multiplikation
Bei der Multiplikation von Vektoren mit einem Skalar werden die Komponenten einzeln mit dem Skalar multipliziert. (skalare Multiplikation)
Der Skalar kann aufgeteilt, einzeln multipliziert und Anschließend wieder addiert werden.
Wenn du einen Vektor mit einem Skalar multiplizierst, der selbst ein Produkt aus zwei Skalaren ist, kannst du die Multiplikation in zwei Schritten machen:
Statt zunächst die beiden Skalare zu multiplizieren und dann das Ergebnis mit dem Vektor, kannst du auch erst den Vektor mit dem ersten Skalar multiplizieren und dann das Resultat mit dem zweiten Skalar.
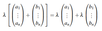
Multipliziert man eine Summe zweier Vektoren mit einem Skalar, so darf man auch den Skalar mit jedem Vektor einzeln multiplizieren und anschließend die Summe bilden.
Multipliziert man einen Vektor mit der Summe zweier Skalare, so darf man die Skalare
auch einzeln mit dem Vektor multiplizieren und dann aufsummieren.
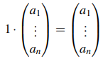
Die Multiplikation der Zahl 1 mit einem Vektor ergibt wieder diesen Vektor.
