home-harmening:mathematik:vektoren

Dies ist eine alte Version des Dokuments!


Vektoren


Die Zahlen innerhalb der Klammern werden reelle Spaltenvektoren genannt.


Vektoren werden als gleich bezeichnet wenn jede einzelne Komponente des ersten Vektors mit der dazugehörigen Komponente des zweiten Vektors
übereinstimmt.
Hier besitzen dien beiden Vektoren eine gleiche Komponentenzahl $ n $.

Addition


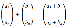
Hier die Addition von zwei Vektoren. Diese Addition gilt nur für Vektoren mit gleicher Komponentenzahl.

Es wird jedes Komponentenpaar einzeln miteinander Addiert.

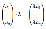
Multiplikation

Bei der Multiplikation von Vektoren mit einem Skalar werden die Komponenten einzeln mit dem Skalar multipliziert. (skalare Multiplikation)

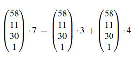
Der Skalar kann aufgeteilt, einzeln multipliziert und Anschließend wieder addiert werden.