Aussagenlogische Formeln
1. Aussagen/Aussagenformen
(F1) Die Behauptung muss inhaltlich verständlich sein. Eventuell muss dafür auf notwendige
Begriffsdefinitionen verwiesen werden.
(F2) Es muss möglich sein, Bedingungen anzugeben, unter denen sich der Wahrheitsgehalt der
Behauptung (zumindest hypothetisch) objektiv und eindeutig feststellen lässt
Eine durch (eine natürliche oder eine künstliche) Sprache ausgedrückte Behauptung, die die Bedingungen (F1) und (F2) erfüllt, bezeichnen wir als Aussageform. Enthält eine Aussageform bereits sämtliche Kontextinformation im Sinne von (F2), so dass ihr Wahrheitsgehalt in einem übergeordnet festgelegten Grundkontext ohne weitere Angabe von Informationen – wenigstens hypothetisch – objektiv und eindeutig feststellbar ist, so nennen wir diese eine Aussage.
Durch den Grundkontext „Mathematik“ wissen wir, was Variablen und Zahlen sind, ferner kennen wir die Bedeutung des Zeichens „>“. Nachfolgend ist eine Aussageform in diesem
Grundkontext gegeben:
Grundkontext: Mathematik
Behauptung: Es ist x > 3.
Hier kann der Wahrheitsgehalt erst dann zweifelsfrei evaluiert werden, wenn bekannt ist, welchen Wert die Variable x hat. Erst dann entsteht also eine (wahre oder falsche) Aussage:
Grundkontext: Mathematik
Kontext: x habe den Wert 2.
Behauptung: Es ist x > 3
Nochmal einfacher
Aussage
Eine Aussage ist ein Satz, der eindeutig wahr (w) oder falsch (f) ist. Sie enthält keine Variablen.
Beispiele:
„5 ist eine ungerade Zahl.“ → wahr
„3 = 5.“ → falsch
„6 < 11.“ → wahr
Diese Sätze haben einen festen Wahrheitswert und heißen daher Aussagen.
Aussageform
Eine Aussageform ist ein Satz, der mindestens eine Variable (Platzhalter) enthält. Sein Wahrheitswert lässt sich erst nach dem Einsetzen eines konkreten Wertes bestimmen.
Beispiele:
A (x):x+1=7
Für x=6: wahr
Für x=4: falsch
B (x,y):x<y
Für (x,y)=(3,5): wahr
Für (x,y)=(7,2): falsch
Eine Aussageform hat noch keinen Wahrheitswert, sondern wird zur Aussage, wenn man:
Variablen durch konkrete Werte ersetzt (z.B. x=6), oder
Variablen mit Quantoren bindet, etwa:
Allquantor („für alle“): ∀x:x+1=7
Existenzquantor („es gibt“): ∃x:x+1=7
💡 Merkregel
Aussage: enthält keine Variablen → hat festen Wahrheitswert Aussageform: enthält Variable(n) → Wahrheitswert noch offen
1.0.1 Negation von Aussagen
Gegeben ist der Satz
Wenn heute Montag ist, dann ist Morgen Mittwoch
Die Negation zu diesem Satz zu bilden ist nicht so intuitiv und sollte daher durch zu Hilfenahme von Formeln gebildet werden.
- Wenn heute Montag ist, dann ist Morgen Mittwoch $A \rightarrow B$
- Die Transformation der Disjunktion ist $A \rightarrow B$ ⇒ $\neg A \lor B$
- Jetzt die Negation der Formel $\neg A \lor B$ ⇒ $A \land \neg B$
- Die negierte Formel in einen Satz überführen $A \land \neg B$ ⇒ Heute ist Montag, und Morgen ist nicht Mittwoch.
Die Negation lautet
Heute ist Montag, und Morgen ist nicht Mittwoch.
1.1 Quantoren
In der Logik sind Quantoren besondere Operatoren, die angeben, für welche Objekte oder Elemente einer Menge eine Aussage gelten soll.
1.1.1 Allquantor (∀)
Der Allquantor steht für „für alle“ oder „jedes“.
Er gibt an, dass eine Aussage für alle Elemente einer betrachteten Menge gilt.
Symbol: ∀ (umgedrehtes A)
Beispiel:
„Für alle natürlichen Zahlen x gilt: x + 0 = x“
Formal:
$∀x∈N:x+0=x$
1.1.2 Existenzquantor (∃)
Der Existenzquantor steht für „es gibt mindestens ein“.
Er drückt aus, dass es mindestens ein Element gibt, für das die Aussage wahr ist.
Symbol: ∃ (gespiegeltes E)
Beispiel:
„Es gibt eine natürliche Zahl x, sodass x² = 4“
Formal:
$∃x∈N:x^{2}=4$
2. Junktionen
In der Aussagenlogik sind Junktionen (richtiger: Junktoren) logische Verknüpfungszeichen, mit denen man einzelne Aussagen zu komplexeren Aussagen zusammensetzt.
Folgende Junktionen existieren
| Symbol | Name | verbale Bedeutung | Beispiel | Beschreibung |
| $ \neg $ | Negation | nicht | $ \neg A $, „nicht A“ | Verneint den Wahrheitswert einer Aussage.\\Wenn A wahr ist, ist $\neg A$ falsch - und umgekehrt. |
| $ \land $ | Konjunktion | und | $ A \land B $, „A und B“ | Wahr nur wenn beide Aussagen wahr sind. |
| $ \lor $ | Disjunktion | oder (einschließend) | $ A \lor B $, „A oder B oder Beide“ | Wahr, wenn mindestens eine der Aussagen wahr ist. |
| $ \oplus $ | Exklusives Oder\\(XOR) | entweder - oder | $ A \oplus B $ | Wahr, wenn genau eine Aussage wahr ist. |
| $ \rightarrow $ | Subjunktion/Implikation | Wenn - dann | $ A \rightarrow B $, „Wenn Am dann B“ | Falsch nur, wenn A wahr und B falsch ist.\\Lässt sich gut durch den Satz:\\Ich verspreche wenn A, dann B. Herleiten.\\Versprechen gehalten oder gebrochen. |
| $ \leftrightarrow $ | Bijunktion/Äquivalenz | genau dann, wenn | $ A \leftrightarrow B $, A genau dann\\, wenn B | Wahr, wenn beide Aussagen denselben Wahrheitswert haben. |
2.1 Wahrheitstabelle der Junktionen
| A | B | Konjunktion $ A \land B $ | Disjunktion $ A \lor B $ | XOR $ A \oplus B $ | Subjunktion $ A \rightarrow B $ | Bijunktion $ A \leftrightarrow B $ |
| 0 | 0 | 0 | 0 | 0 | 1 | 1 |
| 0 | 1 | 0 | 1 | 1 | 1 | 0 |
| 1 | 0 | 0 | 1 | 1 | 0 | 0 |
| 1 | 1 | 1 | 1 | 0 | 1 | 1 |
Hier ist zu sagen, dass eine
- Subjunktion $ A \rightarrow B $ in eine Disjunktion gewandelt werden kann
$ A \rightarrow B \equiv \neg A \lor B $
- Bijunktion in zwei Subjunktionen bzw, zwei Disjunktionen mit einer Konjunktion gewandelt werden kann
$ A \leftrightarrow B \equiv (A \rightarrow B) \land (B \rightarrow A) \equiv (\neg A \lor B) \land (\neg B \lor A) $
3. Syntax aussagenlogischer Formeln
- Jeder lateinische Großbuchstabe A,…,Z (auch indiziert $ A_{i} $) ist eine aussagenlogische Formel.
- Es sind $ \top $ für Tautalogie und $ \bot $ für Kontradiktion aussagenlogische Formeln.
- Ist $ \varphi $ eine aussagenlogische Formel, so gilt dies auch für $ (\varphi) $ und $ (\neg \varphi ) $.
- Sind $ \varphi $ und $ \epsilon $ aussagenlogische Formeln, so gilt dies auch für $ ( \varphi \land \epsilon ) $,$ ( \varphi \lor \epsilon ) $,$ ( \varphi \oplus \epsilon ) $
$ ( \varphi \rightarrow \epsilon ) $,$ ( \varphi \leftrightarrow \epsilon ) $
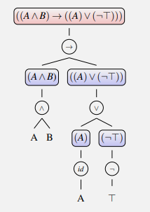
4. Syntaxbäume
Um komplexe aussagenlogische Formeln zu vestehen und zu bewerten kann ein Syntaxbaum als Werkzeug erstellt werden.
Die aussagenlogische Formel wird mit Hilfe des Syntaxbaum asseinander gefächert bis zu den Einzelnen Operatoren (A,B,…,Z).
5. Begriffe
Abhängig davon, welche Werte von einer Booleschen Funktion tatsächlich angenommen werden,
unterscheiden wir drei wesentliche Szenarien:
- Erfüllbarkeit: Eine Boolesche Funktion heißt erfüllbar, wenn sie für mindestens eine Eingabe den Wert 1 annimmt.
- Widersprüchlichkeit: Eine Boolesche Funktion heißt widersprüchlich, wenn sie nicht erfüllbar ist. Damit nimmt sie für alle Eingaben den Wert 0 an. Man spricht dann von einer Kontradiktion.
- Allgemeingültigkeit: Eine Boolesche Funktion heißt allgemeingültig, wenn sie für alle Eingaben den Wert 1 annimmt. Man spricht dann von einer Tautologie.
- Logisch Gleichwertig: Wenn zwei unterschiedliche Formeln zum selben Ergebnis führen. Bzw. wenn diese die gleiche Wahrheitstabelle aufweisen nennt man diese Formeln logisch Gleichwertig.
6. Umformen von Formeln
| Name | Beschreibung | Beispiel |
| Kommunikativgesetz | Die Reihenfolge der Aussagen bei Konjunktion und Disjunktion ist egal | $ A \land B \equiv B \land A $ $ A \lor B \equiv B \lor A $ |
| Assoziativgesetz | Die Gruppierung von Aussagen bei Konjunktion und Disjunktion kann beliebig verändert werden. | $ (A \land B) \land C \equiv A \land ( B \land C ) $ $ (A \lor B) \lor C \equiv A \lor ( B \lor C ) $ |
| Distributivgesetz | Konjunktion kann über Disjunktion verteilt werden und umgekehrt. | $ A \land ( B \lor C ) \equiv ( A \land B ) \lor ( A \land C ) $ $ A \lor ( B \land C ) \equiv ( A \lor B ) \land ( A \lor C ) $ |
| Absorptionsgesetz | Eine Aussage absorbiert eine durch Konjunktion oder Disjunktion verbundene zweite Aussage. | $ A \lor ( A \land B) \equiv A $ $ A \land ( A \lor B) \equiv A $ |
| Neutralitätsgesetz | Eine Aussage und Wahr ist immer gleich der Aussage. Eine Aussage oder Falsch ist immer gleich der Aussage. | $ A \land \top \equiv A $ $ A \lor \bot \equiv A $ |
| Extremalgesetz | Eine Aussage und Falsch ist immer Falsch. Eine Aussage oder Wahr ist immer Wahr. | $ A \land \bot \equiv \bot $ $ A \lor \top \equiv \top $ |
| Komplementärgesetz | Eine Aussage oder ihre Negation ist immer wahr. Eine Aussage und ihre Negation ist immer falsch. | $ A \lor \neg A \equiv \top $ $ A \land \neg A \equiv \bot $ |
| Involutionsgesetz | Eine Verneinung der Verneinung ist die Aussage selbst. | $ \neg ( \neg A ) \equiv A $ |
| De Morganische Gesetze | Negationen von Konjunktion und Disjunktion tauschen. | $ \neg ( A \land B ) \equiv \neg A \lor \neg B $ $ \neg ( A \lor B ) \equiv \neg A \land \neg B $ |
| Idempotenzgesetze | Wiederholte Anwendung derselben Operation ändert die Aussage nicht. | $ A \land A \equiv A $ $ A \lor A \equiv A $ |
Um bei langen Formen eine kleine Hilfe zu haben, gibt es die Möglichkeit die Gesetze aus der Addition und der Multiplikation zu verwenden. Dabei wird
- Und $ \land \equiv * $ Multiplikation
- Oder $ \lor \equiv + $ Addition
gesetzt.
Normalformen
KNF (UND Verbunden)
Konjunktive Normalform (KNF): Diese Form liegt vor, wenn eine gegebene aussagenlogische Formel eine Konjunktion von Disjunktionen von Literalen ist und kein Großbuchstabe
je Disjunktion in mehr als einem Literal vorkommt.
Einfach:
Eine Formel ist in KNF, wenn sie eine UND-Verknüpfung von mehreren ODER-Verknüpfungen von einfachen Aussagen (genannt Literale) ist.
Wichtig dabei:
- Literale sind Aussagen oder deren Verneinungen.
- In jeder ODER-Verknüpfung darf kein Literal doppelt vorkommen.
Kanonische Konjunktive Normalform
Die kanonische KNF zeichnet sich dadurch aus, das der Letzte Punkt nicht erfüllt ist. Es können auch Literale und komplette Funktionen doppelt vorkommen.
Diese Form ist eine absolute Nachbildung der Wahrheitstabelle und nicht vereinfacht.
KNF erstellen
- Wahrheitstabelle aufstellen.
- Alle Formeln Notieren bei denen das Endergebnis Wahr ist. Z.B. $ ( A \land B \land C) $
- Diese Formeln miteinander ODER verknüpfen. Z.B $ ( A \land B \land C) \lor ( \neg A \land \neg B \land C) $
- Das Ergebnis ist die kanonische Konjunktive Normalform.
- Kanonische KNF vereinfachen.
- Das Ergebnis ist die KNF.
DNF (ODER Verbunden)
Disjunktive Normalform (DNF): Diese Form liegt vor, wenn eine gegebene aussagenlogische Formel eine Disjunktion von Konjunktionen von Literalen ist und kein Großbuchstabe
je Konjunktion in mehr als einem Literal vorkommt.
Einfach:
Eine Formel steht in DNF, wenn sie eine ODER-Verknüpfung von mehreren UND-Verknüpfungen von einfachen Aussagen (den sogenannten Literalen) ist.
Dabei gilt:
- Literale sind Aussagenvariablen oder ihre Verneinungen.
- Jede UND-Verknüpfung fasst einige Literale zusammen, z. B. $ A \land \neg B $.
- Die einzelnen UND-Verknüpfungen sind dann durch ODER verbunden, z. B. $ (A \land B) \lor ( \neg A \land C \land D) $ .
Kanonische Disjunktive Normalform
Die kanonische DNF zeichnet sich dadurch aus, das der Letzte Punkt nicht erfüllt ist. Es können auch Literale und komplette Funktionen doppelt vorkommen.
Diese Form ist eine absolute Nachbildung der Wahrheitstabelle und nicht vereinfacht.
DNF erstellen
- Wahrheitstabelle aufstellen.
- Alle Formeln Notieren bei denen das Endergebnis Falsch ist. $ ( A \land B \land C) $
- Diese Formeln miteinander ODER verknüpfen. $ ( A \land B \land C) \lor ( \neg A \land \neg B \land C) $
- Jetzt die gesamte Formel negieren!
So das innerhalb der Klammer ein ODER steht und diese einzelnen Formeln miteinander UND Verknüpfen! $ ( \neg A \lor \neg B \lor \neg C) \land ( A \lor B \lor \neg C) $ - Das Ergebnis ist die kanonische Disjunktive Normalform.
- Kanonische DNF vereinfachen.
- Das Ergebnis ist die DNF.
7. Junktionen als NAND
NAND gilt als universeller Junktor. Mit NAND lassen sich auch alle anderen Junktionen darstellen.
| Bezeichnung | Formel | Vereinfachung 1 | Vereinfachung 2 | Vereinfachung 3 | NAND mit Negation | Formel als NAND |
| Konjunktion | $ A \land B $ | -/- | -/- | -/- | -/- | $ (A \barwedge B) \barwedge (A \barwedge B) $ |
| Disjunktion | $ A \lor B $ | -/- | -/- | -/- | $ \neg A \barwedge \neg B $ | $ (A \barwedge A) \barwedge (B \barwedge B) $ |
| Subjunktion | $ A \rightarrow B $ | $ \neg A \lor B $ | -/- | -/- | $ A \barwedge \neg B $ | $ A \barwedge (B \barwedge B) $ |
| Bijunktion | $ A \leftrightarrow B $ | $ (A \rightarrow B) \land (B \rightarrow A) $ | $ (\neg A \lor B) \land (\neg B \lor A) $ | $ ( A \barwedge \neg B ) \land ( B \barwedge \neg A) $ | $ (( A \barwedge \neg B ) \barwedge ( B \barwedge \neg A )) \barwedge (( A \barwedge \neg B ) \barwedge ( B \barwedge \neg A )) $ | $ (( A \barwedge (B \barwedge B) ) \barwedge ( B \barwedge (A \barwedge A) )) \barwedge (( A \barwedge (B \barwedge B) ) \barwedge ( B \barwedge (A \barwedge A))) $ |